Oklahoma City, Oklahoma's Channel 9 has the next TV Story out, entitled:
"Oklahoma School Districts Accused Of Wasting Tax Dollars"
You can see the KWTV News 9 Report here, and with their permission, at the end of this post:
http://www.news9.com/story/15953631/school-districts-accused-of-wasting-tax-dollars
Summary:
Attorney General Scott Pruitt called for the Oklahoma State Auditor Gary Jones to do an audit. The Auditor says that they are watching to see if the law has been followed when letting school roofing contracts to bid.
Well, we all know what is going on...that is for sure. And it's not legal nor is it good for anyone but those purporting the scams.
Least of all the kids.
Included in Tulsa's School specs are fraudulent test listings, typically seen language of the Tremco "Lock-Spec", as one of their former long-term Managers said Tremco called them in-house, and the use of insurmountable restrictive - and totally useless - "Qualifications".
See the Tremco In-House Specs, first reported on by the head of the Midwest Roofing Contractor's Association's Technical Committee L. B. "Huck" Morris in a series of expose articles in their Magazine, The Midwest Roofer, in 1997.
You can see those in-house training documents here:, which state on the top of page 6 of 9, "CONTROLLING THE SCHOOL AND PUBLIC WORK" and detail what you see in the Tulsa School Specs:
http://schoolroofingscam.blogspot.com/2008/02/tremco-in-house-training-documents.html
I remember a time in the 90's when two men were unfairly accused of criminal wrongdoing by one of the scam roofing manufacturers with Attorney Generals.
The same one being looked into by the Oklahoma State Attorney General now.
A Missouri School District Facilities Manager was falsely accused by that scam roofing manufacturer to the Missouri State Attorney General to have allowed a substitution whose test was not equal to their product.
He was able to produce an in-house document that showed that that manufacturer considered the two tests to be equal.
The other accused by the same manufacturer was a roofing contractor (and President of the Western States Roofing Contractor's Association) in Boise, Idaho. He had installed their products on two projects, then he refused to bid their product on the third of three projects at Mountain Home Air Force Base.
So they accused him of "putting down product he had diluted" on two roofs with the Federal Attorney General. Turned out he hadn't done one of those roofs and he hadn't diluted anything.
As usual, that manufacturer had way oversold nonreturnable product to him on the other projects, with about 1,000 cartons of unopened product left on his yard. So he sent ten of those unopened cartons to Dick Baxter at CRS Monroe in Monroe, NC, had him test the product and sure enough, they were all bad.
And shipped to him bad, out of that manufacturer's plant in Vernon, CA. Where there was the only extremely expensive, high-speed Austrian mixer to mix products in the first place...roofing contractors don't have them!
Karma is really something, isn't it!
You "Go!" Oklahoma State Attorney General and State Auditor - as the young say....and don't let up one iota like the Los Angeles District Attorney Gil Garcetti did with the "son" firm to this manufacturer in the late 90's - de facto helping all of the roofing scammers.
Here is the Oklahoma State Attorney General's Request for a Audit in Oklahoma - in 26 School Projects:
Here is a List of the Projects of concern:
For reference, you can find the California Bureau of State Audits' report re: Tremco Specs in four large Hospital Specs at the University of California, San Francisco at:
That same report is located
at:
in Chapter 5.
Tremco In-House Training Documents are at:
http://schoolroofingscam.blogspot.com/2008/02/tremco-in-house-training-documents.html
http://schoolroofingscam.blogspot.com/2008/02/tremco-in-house-training-documents.html
The Midwest Roofing Contractors' Association's printed an article on those same Tremco In-House Training Documents was "Tremco: Strategies & Methods" by L.B. "Huck" Morris of the
esteemed Midwest Roofing Contractor's Association (MRCA) and printed in 1997 in
their magazine, Midwest Roofer.
And here are their Spec Concerns - very familiar....for the following two specs:
Tulsa School District - Fulton Spec:
http://ftpcontent.worldnow.com/kwtv/documentcloud/documentcloud_fulton.html
Tulsa School District - MacArthur Library Spec:
http://s3.documentcloud.org/documents/263506/macarthur-specs.pdf
What are those concerns?
1. Insurmountable, Restrictive Qualifications:
Manufacturer had to inspect their roof and when - and no outside inspectors to do so, paid by the Owner.
Contractor had to do the same system and size on projects within 50 miles of the School District
Contractor has to have installed at least 100,000 sf of the same product within a 50 mile radius of the School District
2. Extremely Expensive Maintenance Agreement, not a Warranty, required.
Normal Process for Repairs under a Warranty are that a manufacturer and their contractor would ensure it was repaired properly, and without tens of thousands of dollars for a "maintenance agreement". Repairs should average a few hundred dollars to less than $2,000 per incident, and usually very infrequently - as in many years apart.
Tremcare Maintenance Agreement:
Normal Warranty Sample:
3. Callout of the manufacturer to be sole-sourced.
Normal standards are to list three separate manufacturer's products and the term "or equal".
These specifications name Tremco outright, with the term "or approved equal" shown.
4. Restrictive Proprietary Performance Specs - "Lock-Spec'cing" out substitutions
Restrictive Proprietary Performance Specifications are included in the specs, by naming a lot of tests any substitution would have to meet.
Trouble is, those call-outs are inaccurate in many cases.
The most glaring?
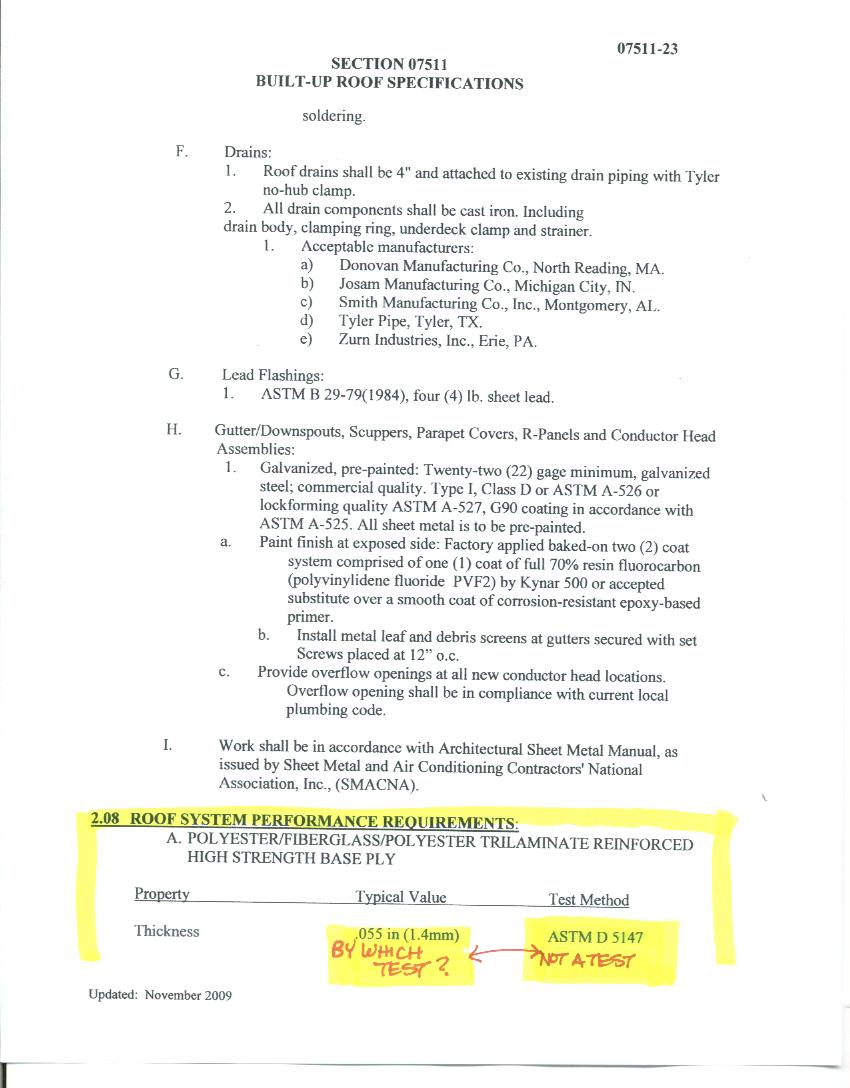
The use of "ASTM D5147" associated with Test values for specific attributes.
"ASTM D5147" is the general test method (i.e. Take "X" amount of material to use for the actual tests that are used to find the values of attributes - i.e. "Tensile Strength")
Another issue is the use of old, out-of-date or superceded tests,making it impossible to submit a substitution. Or listing incorrect values, such as a number picked out of a range when it is only the range that matters.
The listing of old tests that do not test the newer, post-2000 standards that reflect the fact that a combination of strengths are necessary to a roofing system is most disturbing.
Tremco's Response?
They stated that the dollars used for roofing did not come out of education dollars.
However, all education dollars come from a limited pool of taxpayer funds - and have put us into debt for many years with their overcharges.
___________________________________________
Oklahoma City, Oklahoma's Channel 9 Story:
http://www.news9.com/story/15953631/school-districts-accused-of-wasting-tax-dollars
Amy Lester, Oklahoma Impact
Team
OKLAHOMA CITY -- Every building has to have one,
but some school districts may not follow the law when they put on a new roof.
That's the accusation at the center of a special audit state auditor Gary Jones
is conducting right now.
"We are the watchdog. We want to do everything
that we can to ensure that the proper procedures have been followed," said State
Auditor Gary Jones.
Attorney General Scott Pruitt called for the
audit, instructing Jones to audit the books and records of school districts in
Mid Del, Edmond, Enid, Newcastle, Piedmont, Stillwater, Yukon and Guthrie. That
information will help Pruitt determine if the districts are "unfairly
restricting the specifications in bid notices" so only certain manufacturers can
qualify. At issue: possible collusion or kickbacks, all at taxpayer expense.
We talked with several contractors and roofing
experts who say unfair bidding processes happen in some school districts, far
too often.
"It's very frustrating for me because I see these
school districts are having to lay off teachers, they're having to cut programs,
they're trying to tighten their budgets and they're wasting literally millions
of dollars of Oklahoma taxpayer money," said Denver Green, president of
operations for Saratoga Roofing and Construction.
Green is currently putting roofs on schools in
Oklahoma and other states. He and others in the industry say Tulsa public
schools has specific manufacturer requirements in its bidding information for
roofing projects. He claims that limits competition and leads to higher prices.
We looked through years of documents and found, when it's not a metal roof,
Tulsa only uses the manufacturer Tremco. Green says this is because contractors
like him, who are qualified and certified by other well known manufacturers,
cannot meet the district's strict requirements. Even though the bid requirements
say "or approved equal", Green believes other manufacturers won't or can't
qualify. Other roofing experts agree that the bid information limits who can
bid. They say this is costing all of us.
We showed the bid information from four projects
to Green and an architect who works on school projects. Depending on the
project, Denver's estimates, by using a different manufacturer, he could do the
jobs for between about 40%-65% lower than what Tulsa actually paid. The
architect's estimates were 30%-40% lower. And if you apply their same math to
district projects since 2008, Tulsa may have been able to save between 2.8 and
5.6 million dollars.
"I was actually shocked. I found that we could do
the projects for half of the cost and still make a significant profit," said
Green.
Green's not the only one questioning Tulsa and
other Oklahoma school districts. Ron Solomon, a roofing expert from Florida, is
concerned as well. He is a state certified roofing contractor who worked in the
commercial discipline for 37 years. He now dedicates his life to stopping the
use of proprietary specifications in public roofing projects. He recently wrote
several emails to members of the Tulsa school board and architect to point out
problems he sees in their bid information.
"I wanted to make sure that I notified the school
district of the potential problem with them in terms of lawsuits and overpayment
of services," said Solomon. "No public entity should give the perception that
they are favoring one manufacturer over another. This is absolutely the case in
Oklahoma, in Tulsa."
Solomon says that he has not heard back from his
emails. His fight against this issue is far from over.
So, how does Tulsa defend this? We talked with the
schools' Director of Bond Projects, Bob LaBass.
"The Tremco roofing system has been one of the
most successful programs that we've implemented," said LaBass. "Part of their
program is they do full inspections during the installation process. Then, they
inspect for 10 years afterwards so, it prolongs the life of the roof."
LaBass says they essentially pay extra to
outsource maintenance and save on personnel costs. They spend tens of thousands
of dollars, per roof, for a 10 year maintenance program offered by Tremco. It
includes regular inspections, repairs and preventative maintenance. The district
also purchases a 10 year warranty, in addition to the maintenance agreement.
"If it's a problem with a Tremco product, they
repair it. If it's a leak, we get instantaneous response, nearly. They'll be out
within two hours," said LaBass. "We're getting more than just a roof, we realize
that, and we're paying more and we're also getting a lot more service and we're
getting a lot better, a lot longer roof."
Read Tremco's full statement
Other manufacturers provide less expensive 20 year
warranties, instead of maintenance agreements. Other districts tell us the
warranties satisfy their needs and their roofs last for decades. While LaBass
says this allowed the district to cut maintenance workers, Tulsa still has 53
more maintenance people than Oklahoma City schools.
We took what we found about Tulsa Public Schools
to the state auditor. Based on what we provided it's possible his special audit
could be expanded to include other schools.
"All the time, we should never waste tax dollars.
It's a greater emphasis right now when school teachers are being laid off and we
don't have enough money to perform the basic functions in government," said
State Auditor Gary Jones.
Jones' audit will take several months to finish.
We'll be watching and will let you know what happens.
___________________________________
Comments with Recommendations made on that site:
Comment One:
Comment Two:
This is that pesky Architect from San Francisco speaking again. Your roofers are absolutely right when speaking about the scam and the enormous overcharges versus the non-conflict of interest procedures that get your schools the best roofs for the best prices. I was taught in Atlanta by the former head of the International Roofing & Waterproofing Consultants' Association (Matt Hitlin) for over 2 years how to roof and waterproof in the early 1980's....the Roof Consultants' Institute says he wrote the "Bible" of roofing. And he told me that he was trying to fight this scam back then, when I contacted him after going to the FBI about this horrible mess in the late 90's. As to the issue of overcharges: You can bet your bottom dollar they overcharge. (con't)....
Comment Three:
The Overcharges are HUGE.....the materials prices are about 6-8 times normal, and here in California, and New Jersey, the scam manufacturers ensure that the roofs get reroofed every 6-10 years by "shorting" the asphalts between the plies. Former sales reps, roofing contractor estimators involved with Tremco and Tremco Field Inspectors, angry at the practice, told me about it....as did some of the other former scam manufacturers' reps...and recently. You have at least double the total roofing cost done every 6-10 years, instead of every 20-30 years. Tell me that doesn't cost more!!!!! The head of Johns Manville's Product Sales Division a few years back called me up and admitted to me that they openly "private-labeled" their products for Tremco. So does a smaller, "boutique" manufacturer in the Central Valley in California, whose President told me the same. (con't...)
Comment Four:
J-M products sell for what, $30-$35 a roll (square of roofing?), and these guys will mark them up to $200 or more for the same roll??? Have you any idea how many bids and their pricing I have been sent from industry insiders all over the US and now Canada for the past 14 years??? It's absolutely way overpriced! Let me give you an example out of the horses' own mouths: a former Tremco manager told me in just the past couple of years that someone else "set the bond price for the roofs" and they went for the bond, say $700,000, then when the bond was ready, the architect putting out the Tremco-supplied spec, the Tremco sales rep had to "make up the quantities and what types of products to use, to meet the materials "price" set by others in Tremco with that School District. And they don't take back unused product.....What a racket!
___________________________________
Comments with Recommendations made on that site:
Comment One:
As
an Architect, I was the first to report this same roofing manufacturer
scamming school dollars in facilities, to the FBI, ever in the now
80-year history of the scam, while a Senior Architect at the University
of California, San Francisco.
This was in 1997.
The term "scam" and "criminal activities" are out of the mouths of
California Supreme Court Justices in 2004, in my oral hearing (I was
fired for whistleblowing to the FBI.)
The FBI "strongly recommended prosecutions" of my bosses in my case -
but the Federal Attorney General, Robert Mueller, "couldn't track
federal funds at UC" (but we could....).
Only the California State Auditor did anything - and California, whose
State Auditor is not allowed to investigate K-12 (Dept. of Education,
40% of California's budget) - can't do anything else.
You MUST keep after these guys, you have no idea how huge this scam is.
Comment Two:
This is that pesky Architect from San Francisco speaking again. Your roofers are absolutely right when speaking about the scam and the enormous overcharges versus the non-conflict of interest procedures that get your schools the best roofs for the best prices. I was taught in Atlanta by the former head of the International Roofing & Waterproofing Consultants' Association (Matt Hitlin) for over 2 years how to roof and waterproof in the early 1980's....the Roof Consultants' Institute says he wrote the "Bible" of roofing. And he told me that he was trying to fight this scam back then, when I contacted him after going to the FBI about this horrible mess in the late 90's. As to the issue of overcharges: You can bet your bottom dollar they overcharge. (con't)....
Comment Three:
The Overcharges are HUGE.....the materials prices are about 6-8 times normal, and here in California, and New Jersey, the scam manufacturers ensure that the roofs get reroofed every 6-10 years by "shorting" the asphalts between the plies. Former sales reps, roofing contractor estimators involved with Tremco and Tremco Field Inspectors, angry at the practice, told me about it....as did some of the other former scam manufacturers' reps...and recently. You have at least double the total roofing cost done every 6-10 years, instead of every 20-30 years. Tell me that doesn't cost more!!!!! The head of Johns Manville's Product Sales Division a few years back called me up and admitted to me that they openly "private-labeled" their products for Tremco. So does a smaller, "boutique" manufacturer in the Central Valley in California, whose President told me the same. (con't...)
Comment Four:
J-M products sell for what, $30-$35 a roll (square of roofing?), and these guys will mark them up to $200 or more for the same roll??? Have you any idea how many bids and their pricing I have been sent from industry insiders all over the US and now Canada for the past 14 years??? It's absolutely way overpriced! Let me give you an example out of the horses' own mouths: a former Tremco manager told me in just the past couple of years that someone else "set the bond price for the roofs" and they went for the bond, say $700,000, then when the bond was ready, the architect putting out the Tremco-supplied spec, the Tremco sales rep had to "make up the quantities and what types of products to use, to meet the materials "price" set by others in Tremco with that School District. And they don't take back unused product.....What a racket!




















